前言
為滿足飲用水深度處理中使用的煤質顆粒活性炭處理單元有效去除有機污染物質,生產更加健康的自來水,結合上海市水源特點,編制了本標準。
本標準主要參考了美國國家標準ANSI/AWWA B604-96《顆粒活性炭》、歐盟標準《EN 12915-2:2003》和我國生活飲用水水質衛生規范。
附錄A和附錄B是規范性附錄。
本標準提出單位:上海市自米水市北有限公司。
本標準起草單位:上海城市水資源開發利用國家工程中心有限公司、上海市自來水市北有限公司、上海城市污染控制工程研究中心。
本標準協作單位:山西新華活性炭有限公司、神華寧夏煤業集團有限責任公司活性炭分公司。
本標準主要起草人:戴婕、樂林生、高廷耀、伍海輝、張東、高煒、鮑士榮、康蘭英、劉茵、黃怡、李光明、程玉康。
自來水處理用煤質顆粒活性炭技術規范
1 范圍
本標準適用于自來水深度處理中吸附、過濾用的煤質顆粒活性炭,本標準規定了活性炭的技術要求、檢驗方法、標志、包裝、運輸、貯存和防護要求。
2 規范性引用文件
GB/T 7701.4 凈化水用煤質顆粒活性炭
GB/T 7702.1 煤質顆粒活性炭試驗方法 水分的測定
GB/T 7702.6 煤質顆粒活性炭試驗方法 亞甲藍吸附值的測定
GB/T 7702.7 煤質顆粒活性炭試驗方法 碘吸附值的測定
GB/T 7702.3 煤質顆粒活性炭試驗方法 強度的測定
GB/T 7702.15 煤質顆粒活性炭試驗方法 灰分的測定
GB/T 7702.2 煤質顆粒活性炭試驗方法 粒度的測定
GB/T 601 化學試劑 滴定分析(容量分析)用標準溶液的制備
GB/T 603 化學試劑 試驗方法中所用制劑及制品的制備
GB 5749 生活飲用水衛生標準
GB/T 5750 生活飲用水標準檢驗方法
GBT 5750-2001 生活飲用水衛生規范
CJ 3023-1993 活性炭凈水器
ANSI/AWWA B604-1996 美國國家顆粒活性炭標準
EN 12915-1、2 歐盟活性炭質量標準
3 技術要求
3.1 外觀
暗黑色炭素物質,呈顆粒狀。
3.2 煤質顆粒活性炭技術要求
煤質顆粒活性炭的技術要求應符合表1,其余GB/T 7701的要求。
表1 技術指標
| 項目 | 指標 |
| 水分,% | ≤3.0 |
| 碘吸附值,mg/g | ≥900 |
| 亞甲藍吸附值,mg/g | ≥160 |
| 丹寧酸吸附值,mg/g | ≥2.0 |
| 腐殖酸吸附值,mg/g | ≥0.15 |
| 強度,% | ≥90 |
| 水溶性灰分,% | ≤1 |
| 粒徑,目 | 12×40或8×30或12×30或柱狀直徑1.5mm |
| 鉛,μg/g | ≤10 |
| 鋅,μg/g | ≤50 |
| 鎘,μg/g | ≤1 |
| 砷,μg/g | ≤2 |
3.3 煤質顆粒活性炭評價指數
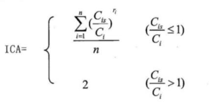
將煤質顆粒活性炭的碘值、亞甲藍吸附值和丹寧酸吸附值、腐殖酸吸附值四個指標作為煤質顆粒活性炭評價技術參數,并定義活性炭評價指數為ICA(Index of Carbon Assessment),由下圖式計算:
式中:ICA表示指標數;
CiS表示性能指標對應的標準值,例如碘吸附值的標準值;
Ci表示該活性炭的性能指標,例如碘吸附值等;
ri表示性能指標與動態吸附容量的相關系數,對于碘吸附值ri=0.4,對于亞甲藍吸附值ri=0.3,對于丹寧酸吸附值ri=0.9,對于腐殖酸吸附值ri=0.9。
4 檢驗方法
4.1 水分的測定
按GB/T 7702.1煤質顆粒活性炭水分的測定方法。
4.2 碘吸附值的測定
按GB/T7702.7煤質顆粒活性炭碘吸附值的測定方法。
4.3 亞甲藍吸附值的測定
按GB/T7702.6煤質顆粒活性炭亞甲藍吸附值的測定方法。
4.4 丹寧酸吸附值的測定
按附錄A的方法進行
4.5 腐殖酸吸附值的測定
按附錄B的方法進行
4.6 強度的測定
按GB/T7702.3煤質顆粒活性炭強度的測定方法。
4.7 水溶性灰分的測定
按ANSI/AWWAB 604-1996煤質顆粒活性炭水溶性灰分的測定方法。
4.8 粒度的測定
按GB/T 7702.2煤質顆粒活性炭粒度的測定方法。
4.9 鉛、鋅、鎘、砷的測定
按CJ3023活性炭凈水器的測定方法。
5 標志、包裝、運輸和貯存
5.1 標志
5.1.1 顆粒活性炭的包裝上應標明制造廠名、產品名稱、商標、產品型號或標記、制造日期或生產批號、產品的主要參數、產品凈重。
5.1.2 顆粒活性炭的包裝上可以標有產品質量符合本標準要求的證明和本標準編號。
5.2 包裝和運輸
5.2.1 包裝
包裝袋內層應密封防潮,并加適當的外包裝,防止受到天氣的危害。
5.2.2 運輸
5.2.2.1 顆粒活性炭產品的運輸可采用包裝袋運輸和集裝箱運輸。
5.2.2.2 運輸過程中應嚴密密封,潔凈無腐蝕,防止雨淋、損失和運輸過程中的產品污染。
5.2.2.3 注意輕裝、輕卸,如系軟包裝不得用鐵鉤拖運。
5.2.2.4 采用集裝箱時,如裝有多種顆粒活性炭,應用不同的分隔間擋隔開。
5.3 貯存
5.3.1 穩定性
活性炭容易吸收水分,應保持產品通風干燥,并且遠離易揮發物質。
5.3.2 不能共存的物質
須采取嚴格的預防措施防止顆粒活性炭接觸強氧化劑(如過氧化氫,高錳酸鉀,次氯酸鹽,氯,臭氧等)、碳氫化合物(如石油、汽油、內燃機燃料、油脂、油漆稀釋劑等等)、揮發溶劑和水分。
6 健康防護措施
6.1 人員防護
當工作人員進入放有活性炭的封閉區或部分封閉區時,必領采取適當的防護措施。
6.2 火災防護
6.2.1 預防措施
6.2.1.1 活性炭應貯存在防火的房屋或者倉庫里。
6.2.1.2 活性炭應儲放在遠離氧化劑和易燃物質的地方。
6.2.2 滅火措施
6.2.2.1 可使用任何滅火介質,宜使用泡沫滅火器滅火。
6.2.2.2 應配備完備的供氧裝置。
6.3 急救措施
6.3.1 如果活性炭接觸皮膚,可用肥皂和自來水沖洗。
6.3.2 如果活性炭接觸眼睛,可用自來水或凈化水沖洗15min。
6.3.3 如果吸入活性炭,應轉移到有新鮮空氣的地方。
附錄A(規范性附錄)
顆粒活性炭丹寧酸吸附值的檢驗方法
A.1 丹寧酸吸附值
A.1.1 方法提要
一定體積和濃度的丹寧酸溶液經過活性炭柱過濾后收集,通過分光光度法測出過濾前后丹寧酸濃度,求出每克試樣吸附丹寧酸的毫克數。
A.1.2 試劑
丹寧酸:分析純,分子量為1700。
A.1.3 溶液及其配制
丹寧酸標準使用液:500mg/L,準確稱取1.0g分析純丹寧酸到蒸餾水中,并稀釋到2L,混勻。
A.1.4 儀器、裝置
A.1.4.1 丹寧酸吸附試驗裝置(見圖A.1)
A.1.4.1.1 有機玻璃柱:內徑為29mm,高度約為500mm,有機玻璃柱的底部裝有50mm高的玻璃珠承托層以支撐活性炭,炭層高度約為120mm,炭上水位保持70mm左右。出水管應向上彎起,與柱內液面相平,防止活性炭柱濾干。
A.1.4.1.2 蠕動泵。
A.1.4.2 容量瓶:1L和2L。
A.1.4.3 試劑瓶:4L。
A.1.4.4 玻璃珠
A.1.4.5 電熱恒溫干燥箱:0~300℃。
A.1.4.6 天平:感量1mg。
A.1.4.7 干燥器:內裝無水氯化鈣或變色硅膠。
A.1.4.8 紫外分光光度計
A.1.5 測試步驟
a) 配制0~30mg/L濃度范圍的丹寧酸溶液,在紫外分光光度計上用1cm石英比色皿,在275nm波長處以蒸餾水為參比測定各濃度的吸光度,根據吸光度與濃度的關系繪制丹寧酸標準曲線。
b) 在清洗干凈的活性炭柱上高度為170mm處作標記。
c) 取100mL活性炭試樣放入電熱恒溫干燥箱內,在105℃下烘干1h,然后放入干燥器中冷卻至室溫備用。
d) 預先在活性炭柱內加入50mm的玻璃珠承托層。稱取一定量烘干后的活性炭用蒸餾水浸泡30min,除去炭灰和殘渣,沖洗后慢慢加入到活性炭柱中,并達到高度為170mm的位置。裝炭前,在活性炭柱內加入20mL的丹寧酸溶液,使裝入的炭完全沒沒在水中。應當注意的是在試驗過程中,活性炭應完全浸沒在丹寧酸溶液中,以避免炭床中溝槽作用的發生以及空氣進入活性炭層。
e) 配制的500mg/L的丹寧酸溶液用蠕動泵以35mL/min的速度,從上往下通過該活性炭柱(假定使用的柱子內徑是29mm,若使用其他內徑的柱子,應按比例調整進水流量,以保證濾速和空床接觸時間不變),并同時收集1L濾出液(以第一遍過濾為基準)。
f) 將濾液混勻,用蒸餾水稀釋20倍后,殘余丹寧酸濃度可以通過在分光光度計275nm波長處以蒸餾水為參比測定紫外吸收值的方法獲得,并記錄稀釋比例20。
A.1.6 測定結果的處理
A.1.6.1殘余丹寧酸濃度的確定
丹寧酸濃度可以在275nm (較大吸收峰)處通過紫外吸光度確定。配制的丹寧酸溶液經活性炭過濾前、后溶液中丹寧酸的濃度,通過稀釋后用0~30mg/L濃度范圍的標準曲線確定。
A.1.6.2 丹寧酸吸附值按式(1)和(2)計算:
(1) 吸收單寧酸的百分比=1-(出水單寧酸濃度×稀釋比例)/(進水單寧酸濃度×稀釋比例)
(2) 單寧酸的吸附容量(mg/g)=(吸收的單寧酸百分比×進水單寧酸濃度×1L)/活性炭柱中活性炭的重量(g)
附錄B(規范性附錄)
顆粒活性炭腐殖酸吸附值的檢驗方法
B.1 腐殖酸吸附值
B.1.1 方法提要
一定體積的腐殖酸溶液經過活性炭柱過濾后收集,通過分光光度法測出過濾前后腐殖酸濃度,求出每克試樣吸附腐殖酸的毫克數。
B.1.2 試劑
B.1.2.1 硼酸鈉:分析純。
B.1.2.2 腐殖酸:生化試劑。
B.1.3 溶液及其配制
B.1.3.1 硼酸鈉緩沖溶液:pH=9.18
稱取3.80g硼酸鈉(Na2B4O7·10H20)不能烘,溶解于蒸餾水中,稀釋至1L。
B.1.3.2 腐殖酸溶液:20mg/L
準確稱取20mg腐殖酸,溶解在緩沖溶液中,稀釋至1L。此溶液濃度為20mg/L。
B.1.4 儀器、裝置
B.1.4.1 腐殖酸吸附試驗裝置(見圖B.1)
B.1.4.1.1 有機玻璃柱:內徑為29mm,長度大約為500mm,有機玻璃柱的底部裝有50mm的玻璃珠承托層以支撐活性炭,炭層高度約為120mm,炭上水位保持70mm左右。出水管應向上彎起,與柱內液面相平,防止活性炭柱濾干。
B.1.4.1.2 蠕動泵。
B.1.4.2 容量瓶:1L和2L。
B.1.4.3 試劑瓶:4L。
B.1.4.4 玻璃珠
B.1.4.5 電熱恒溫干燥箱:0~300℃。
B.1.4.6 天平:感量1mg。
B.1.4.7 干燥器:內裝無水氯化鈣或變色硅膠。
B.1.4.8 紫外分光光度計
B.1.5 測試步驟
a) 配制0~25mg/L濃度范圍的腐殖酸溶液,用1cm石英比色皿在紫外分光光度計上,在254nm波長處以緩沖溶液為參比測定各濃度的吸光度,根據吸光度與濃度的關系繪制腐殖酸標準曲線。
b) 在清洗干凈的活性炭柱上高度為170mm處作標記。
c) 取100mL活性炭試樣放入電熱恒溫干燥箱內,在105℃下烘干1h,然后放入干燥器中冷卻至室溫備用。
d) 預先在活性炭柱內加入50mm的玻璃珠承托層。稱取一定量烘干后的活性炭用蒸餾水浸泡30min,除去炭灰和殘渣,沖洗后慢慢加入到活性炭柱中,并達到高度大約為170mm的位置。裝炭前,在活性炭柱內加入20mL左右的腐殖酸溶液,使裝入的炭完全浸沒在水中。應當注意的是在試驗過程中,活性炭應完全浸沒在腐殖酸溶液中,以避免炭床中溝槽作用的發生以及空氣進入活性炭層。
e) 20mg/L的腐殖酸溶液用蠕動泵以35mL/min的速度,從上往下通過該活性炭柱(假定使用的柱子內徑是29mm,若使用其他內徑的柱子,應按比例調整進水流量,以保證濾速和空床接觸時間不變),并同時收集1L濾出液(以第一遍過濾為基準)。
f) 將濾液混勻,用注射式過濾器及0.45μm膜過濾,用1cm石英比色皿在紫外分光光度計上,在254nm波長處以緩沖溶液為參比測定各濾液的吸光度,通過得到殘余腐殖酸的濃度。
B.1.6 測定結果的處理
B.1.6.1 殘余腐殖酸濃度的確定
腐殖酸可以在254nm(較大吸收峰)處通過紫外吸收確定。配制的丹寧酸溶液經活性炭過濾前、后溶液中丹寧酸的濃度,通過0~25mg/L濃度范圍的標準曲線確定。
B.1.6.2 腐殖酸吸附值按式(3)和(4)計算:
(3)吸收腐殖酸的百分比=1-(出水腐殖酸濃度/進水腐殖酸濃度)
(4)腐殖酸的吸附容量(mg/g)=(吸收的腐殖酸百分比×進水腐殖酸濃度×1L)/活性炭柱中活性炭的重量(g)
